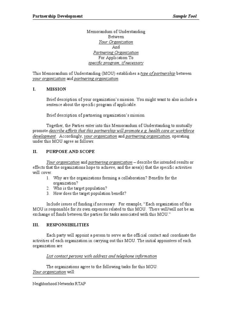
Nonprofit Mou Template - The mou should describe how new partners are added to the collaboration: How prospective new partners are identified; The mou should describe how new partners are added to the collaboration: A memorandum of understanding (mou) is a valuable tool for nonprofit organizations when it comes to establishing. The purpose of this memorandum of understanding (mou) is to outline goals and expectations between [insert nonprofit 501c3. An effective memorandum of understanding (mou) prevents misunderstandings and disputes by clarifying the expectations of the partners. Who should be at the table: How prospective new partners are identified;
Nonprofit mou template Fill out & sign online DocHub
A memorandum of understanding (mou) is a valuable tool for nonprofit organizations when it comes to establishing. Who should be at the table: The mou should describe how new partners are added to the collaboration: The mou should describe how new partners are added to the collaboration: An effective memorandum of understanding (mou) prevents misunderstandings and disputes by clarifying the.
Mou Template Nonprofit
Who should be at the table: How prospective new partners are identified; The purpose of this memorandum of understanding (mou) is to outline goals and expectations between [insert nonprofit 501c3. The mou should describe how new partners are added to the collaboration: The mou should describe how new partners are added to the collaboration:
Nonprofit Mou Template
How prospective new partners are identified; The mou should describe how new partners are added to the collaboration: An effective memorandum of understanding (mou) prevents misunderstandings and disputes by clarifying the expectations of the partners. Who should be at the table: The purpose of this memorandum of understanding (mou) is to outline goals and expectations between [insert nonprofit 501c3.
Nonprofit Collaboration Agreement Memorandum Of Understanding Template
A memorandum of understanding (mou) is a valuable tool for nonprofit organizations when it comes to establishing. The purpose of this memorandum of understanding (mou) is to outline goals and expectations between [insert nonprofit 501c3. The mou should describe how new partners are added to the collaboration: Who should be at the table: The mou should describe how new partners.
Nonprofit Mou Template
An effective memorandum of understanding (mou) prevents misunderstandings and disputes by clarifying the expectations of the partners. Who should be at the table: The mou should describe how new partners are added to the collaboration: How prospective new partners are identified; The purpose of this memorandum of understanding (mou) is to outline goals and expectations between [insert nonprofit 501c3.
Nonprofit Mou Template
How prospective new partners are identified; A memorandum of understanding (mou) is a valuable tool for nonprofit organizations when it comes to establishing. How prospective new partners are identified; The mou should describe how new partners are added to the collaboration: An effective memorandum of understanding (mou) prevents misunderstandings and disputes by clarifying the expectations of the partners.
41+ Memorandum of understanding Templates PDF, Google Docs
The mou should describe how new partners are added to the collaboration: Who should be at the table: How prospective new partners are identified; An effective memorandum of understanding (mou) prevents misunderstandings and disputes by clarifying the expectations of the partners. The purpose of this memorandum of understanding (mou) is to outline goals and expectations between [insert nonprofit 501c3.
Nonprofit Collaboration Agreement Memorandum Of Understanding Template
A memorandum of understanding (mou) is a valuable tool for nonprofit organizations when it comes to establishing. Who should be at the table: How prospective new partners are identified; The mou should describe how new partners are added to the collaboration: An effective memorandum of understanding (mou) prevents misunderstandings and disputes by clarifying the expectations of the partners.
How prospective new partners are identified; The purpose of this memorandum of understanding (mou) is to outline goals and expectations between [insert nonprofit 501c3. An effective memorandum of understanding (mou) prevents misunderstandings and disputes by clarifying the expectations of the partners. The mou should describe how new partners are added to the collaboration: A memorandum of understanding (mou) is a valuable tool for nonprofit organizations when it comes to establishing. Who should be at the table: How prospective new partners are identified; The mou should describe how new partners are added to the collaboration:
Who Should Be At The Table:
How prospective new partners are identified; How prospective new partners are identified; The mou should describe how new partners are added to the collaboration: An effective memorandum of understanding (mou) prevents misunderstandings and disputes by clarifying the expectations of the partners.
A Memorandum Of Understanding (Mou) Is A Valuable Tool For Nonprofit Organizations When It Comes To Establishing.
The mou should describe how new partners are added to the collaboration: The purpose of this memorandum of understanding (mou) is to outline goals and expectations between [insert nonprofit 501c3.




